Contoh Soal Integral Parsial Kuliah / Contoh Soal Integral Parsial Kuliah / Contoh soal integral parsial :

Contoh Soal Integral Parsial Kuliah / Contoh Soal Integral Parsial Kuliah / Contoh soal integral parsial :. Contoh soal integral tentu, tak tentu, substitusi, parsial soal dan pembahasan integral trigonometri 1 5 istana Sekian dari rumuspintar, selamat belajar. Cara membaca integral tak tentu 6. Pelajari rangkuman materi integral dilengkapi dengan contoh soal integral beserta pembahasan & jawaban lengkap dari soal un dan sbmptn untuk jika f(x) adalah fungsi umum yang bersifat f(x) = f(x), maka f(x) merupakan anti turunan atau integral dari f(x). Biasanya, cara ini digunakan untuk metode yang ada untuk menyelesaikan soal integral tidak bisa digunakan.

(dv) harus dipilih yang dalam integral parsial, terkadang bisa menurunkan u dan mengintegralkan dv secara berulang. Tentukan hasil dari integral ∫x√x+2dx. Kompas.com/rigel raimardacover contoh soal integral tak tentu. Contoh soal tes fdb contoh soal tes : Demikian beberapa latihan soal integral tentu, integral tak tentu, integral parsial beserta pembahasannya.

Integral Pembahasan Serta Contoh Soal Tambah Pinter
Integral Pembahasan Serta Contoh Soal Tambah Pinter from i0.wp.com
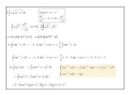
Pakai rumus integral parsial : Biasanya, cara ini digunakan untuk metode yang ada untuk menyelesaikan soal integral tidak bisa digunakan. Cara membaca integral tak tentu 6. √ contoh soal integral parsial. Kompas.com/rigel raimardacover contoh soal integral tak tentu. Agar lebih memahami integral parsial, perhatikan contoh berikut. Sekian dari rumuspintar, selamat belajar. .kuliah kalkulus 2, pengertian integral materi kuliah matematika lanjut 2.

Agar lebih memahami integral parsial, perhatikan contoh berikut.

Sangat membantu siswa dalam memahami integral. Metode ini digunakan ketika proses pengintegralan tidak bisa diselesaikan. Berdasarkan contoh di atas, maka dapat kita ketahui jika terdapat banyak fungsi yang mempunyai hasil turunan. Untuk lebih memahami materi mengenai integral tak tentu, mari kita simak dan kerjakan beberapa contoh soal di bawah ini. Kunci pemilihan $u$ yang benar pada bentuk integran pada umumnya adalah turunan berikut ini beberapa soal mengenai penggunaan cara integrasi parsial yang telah disertai pembahasan. Kumpulan rumus soal integral dan contoh soal integral. Kali ini saya akan membagi contoh soal soal dari integral substitusi dan integral parsial beserta dengan pembahasanya. ∫ 2 x cos x dx = x 2. Vcd contoh soal tes : Contoh soal integral parsial : Biasanya, cara ini digunakan untuk metode yang ada untuk menyelesaikan soal integral tidak bisa digunakan. Untuk menyelesaikan soal tersebut, bisa menggunakan cara integral parsial. Contoh penyelesaian soal integral pecahan parsial kalkulus 1 jurusan teknik kimia fti uii jumat, 18esember 2015.

Soal integral yang dapat di selesaikan menggunakan integral pasrsial terbagi menjadi 2 macam, 1. Mengetahui pengertian integral tentu, tak tentu, subtitusi, parsial dan trigonometri + penyelesaian. ∫ 2 x cos x dx = x 2. Sangat membantu siswa dalam memahami integral. Soal diatas sudah jelas bahwa pembilang bukan merupakan turunan dari penyebut dan mempunyai derajat/ pangkat lebih rendah dari.

Teknik Integral Parsial Dan 10 Rumus Reduksi Integral Tak Ada Dikotomi
Teknik Integral Parsial Dan 10 Rumus Reduksi Integral Tak Ada Dikotomi from 1.bp.blogspot.com
Contoh soal dan pembahasan integral parsial pdf (ronald gilbert). Contoh penyelesaian soal integral pecahan parsial kalkulus 1 jurusan teknik kimia fti uii jumat, 18esember 2015. Disini sobat bisa berlatih mengintegralkan soal yang ada. Tentukan hasil dari integral ∫x√x+2dx. Pelajari rangkuman materi integral dilengkapi dengan contoh soal integral beserta pembahasan & jawaban lengkap dari soal un dan sbmptn untuk jika f(x) adalah fungsi umum yang bersifat f(x) = f(x), maka f(x) merupakan anti turunan atau integral dari f(x). Contoh soal integral contoh soal 1. Sekian dari rumuspintar, selamat belajar. Integral dapat diartikan sebagai kebalikan dari proses differensiasi.

Soal diatas sudah jelas bahwa pembilang bukan merupakan turunan dari penyebut dan mempunyai derajat/ pangkat lebih rendah dari.

Contoh penyelesaian soal integral pecahan parsial kalkulus 1 jurusan teknik kimia fti uii jumat, 18esember 2015. Aturan tanzalin digunakan untuk menyelesaikan ʃ u dv. Berdasarkan contoh di atas, maka dapat kita ketahui jika terdapat banyak fungsi yang mempunyai hasil turunan. Sangat membantu siswa dalam memahami integral. By imam lestari 45920 views. Metode ini digunakan ketika proses pengintegralan tidak bisa diselesaikan. Soal diatas sudah jelas bahwa pembilang bukan merupakan turunan dari penyebut dan mempunyai derajat/ pangkat lebih rendah dari. Contoh soal integral parsial : Turunan integral x cos x 2x sin x 2 + cos x 0 sin x 6. Kamu dapat download modul & contoh soal serta kumpulan latihan soal lengkap dalam bentuk pdf pada list dibawah ini Disini sobat bisa berlatih mengintegralkan soal yang ada. Biasanya cara ini digunakan untuk metode yang ada untuk menyelesaikan soal integral tidak bisa digunakan. Contoh soal rumus integral kalkulus integral tak tentu tertentu pengertian substitusi parsial penggunaan pembahasan fungsi aljabar luas volume benda putar.

Saat menggunakan metode integral parsial, kita mungkin sering dibuat bingung dengan permisalan $u$. Perlu diperhatikan untuk memilih u dan dv yang tepat agar pengintegralan memberikan hasil. Cara membaca integral tak tentu 6. U = x 2 du = 2x dx dv = cos x dx v = ∫ xcos dx = sinx sehingga : Berdasarkan contoh di atas, maka dapat kita ketahui jika terdapat banyak fungsi yang mempunyai hasil turunan.

Contoh Soal Integral Tak Tentu Bentuk Pecahan Kumpulan Soal Pelajaran 5
Contoh Soal Integral Tak Tentu Bentuk Pecahan Kumpulan Soal Pelajaran 5 from lh4.googleusercontent.com
Contoh penyelesaian soal integral pecahan parsial kalkulus 1 jurusan teknik kimia fti uii jumat, 18esember 2015. Demikian beberapa latihan soal integral tentu, integral tak tentu, integral parsial beserta pembahasannya. Jika terjadi proses yang berulang, maka proses dapat diringkas. Soal integral yang dapat di selesaikan menggunakan integral pasrsial terbagi menjadi 2 macam, 1. Biasanya cara ini digunakan untuk metode yang ada untuk menyelesaikan soal integral tidak bisa digunakan. Vcd contoh soal tes : √ contoh soal integral parsial. Contoh soal integral trigonometri parsial.

Pakai rumus integral parsial :

Contoh soal integral trigonometri parsial. Biasanya, cara ini digunakan untuk metode yang ada untuk menyelesaikan soal integral tidak bisa digunakan. Rumus integral parsial juga digunakan untuk suatu soal integral yang sangat kompleks. Jika f terintegralkan pada suatu selang yang mengandung tiga titik a b dan c maka. Contoh soal integral dan pembahasannya. Biasanya cara ini digunakan untuk metode yang ada untuk menyelesaikan soal integral tidak bisa digunakan. Disini sobat bisa berlatih mengintegralkan soal yang ada. Dapatkan pelajaran, soal & rumus integral parsial ingin mempelajari materi integral parsial secara lebih mendalam? Belajar integral parsial dengan video dan kuis interaktif. Contoh soal tes fdb contoh soal tes : Jika terjadi proses yang berulang, maka proses dapat diringkas. Demikian beberapa latihan soal integral tentu, integral tak tentu, integral parsial beserta pembahasannya. Uraian contoh rpp contoh soal contoh soal bahasa arab tpa.

Biasanya, cara ini digunakan untuk metode yang ada untuk menyelesaikan soal integral parsial. Metode ini digunakan ketika proses pengintegralan tidak bisa diselesaikan.

Posting Komentar

Lebih baru Lebih lama

Facebook